PWAi
Evaluation Study
Published: 31 Oct, 2025
Introduction
The PredictWind AI model, known as PWAi, is a new approach to global weather forecasting that combines advanced machine learning while leveraging the proven reliability of physics based models.
This evaluation compares PWAi with two leading global models, AIFS and ECMWF, against the ERA5 dataset from ECMWF across key weather variables including wind, pressure, temperature, and precipitation. The results show that PWAi performs at a very high level, matching or improving on these established benchmarks in most areas. It better captures fine time-scale effects and maintains strong accuracy across multiple forecast days.
This study marks the first stage in validating the PWAi model, which will continue to be refined and tested through real world use to further enhance accuracy and performance over time.
Across all parameters, PWAi performs on par with or better than ECMWF and AIFS, particularly for forecasts up to five days ahead. This means PredictWind user can expect accurate data from PWAi for short to medium range planning.
The comparison includes:
10m wind speed and direction - the wind strength and the angle it blows at the standard 10 metre measurement height used in weather models.
Mean sea level pressure (MSLP) - the air pressure reduced to sea level, which defines the position and strength of weather systems such as highs and lows.
2m temperature - the air temperature measured at two metres above the surface, which is the standard level used in forecasts and observations.
Total precipitation - the combined rainfall or moisture that falls over a set period, important for visibility and squall prediction.
ERA5 - ECMWF's state-of-the-art reanalysis dataset, combining observations and modeling to provide the gold standard for historical weather.
The results are evaluated using statistical measures such as RMSE (root mean square error), which shows the average size of forecast errors. Lower RMSE values indicate a more accurate model.
10m Wind Direction (RMSE)
PWAi shows smaller errors across the time range for wind direction, with a dramatic increase in direction accuracy as the forecast extends into the future.
10m wind direction

10m Wind Speed (RMSE)
PWAi is similar or slightly better than AIFS and better than ECMWF for wind speed.
10m wind speed

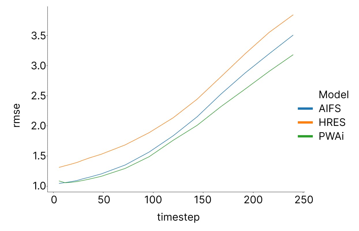
Mean Sea Level Pressure
PWAi beats ECMWF and AIFS when it comes to predicting the surface pressure a few days out.
Mean sea level pressure

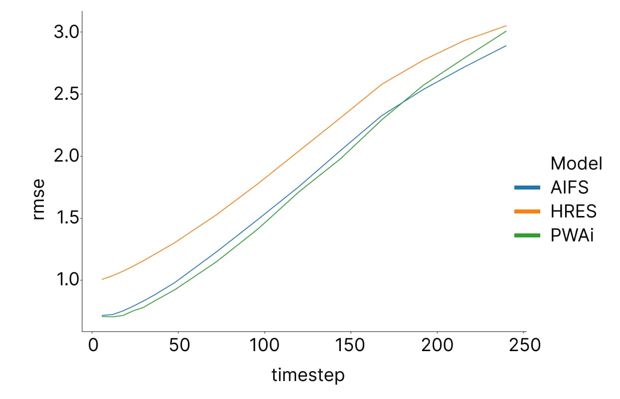
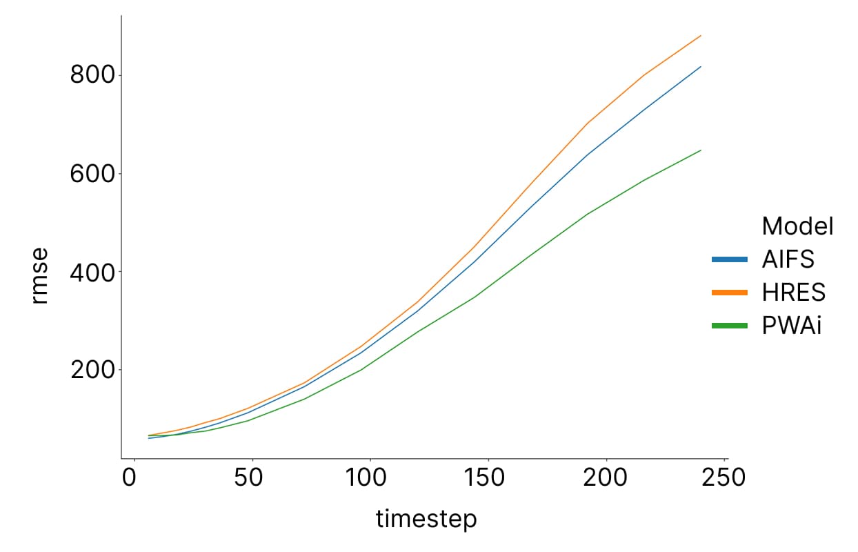
2m Temperature and Total Precipitation
All three models are generally close, but the temperature and precipitation accuracy increases for PWAi over time
2m temperature

Total precipitation 6hr

Beta Status
PWAi is currently in beta testing, and this evaluation represents the first phase of its validation. While early results are very encouraging, PredictWind will continue refining the model through real world testing and user feedback.
The goal is to keep improving PWAi's accuracy and consistency as more data and field comparisons become available.